Quantitative Determination of the Atomic Scattering Tensor in Orbitally Ordered YTiO3 by using Resonant X-ray Scattering Technique

Publication: H. Nakao, Y. Wakabayashi, T. Kiyama, Y. Murakami, M. v. Zimmermann, J. P. Hill, Doon Gibbs, S. Ishihara, Y. Taguchi, and Y. Tokura, Phys. Rev. B 66 (2002) 184419.

An electron strongly correlated in a solid has three degrees of freedom, charge, spin and orbital. The electronic orbital represents the shape of the electron cloud around an atom. The orbital degree of freedom often plays an important role in the electric and magnetic properties through strong coupling with the charge, spin, and lattice degrees of freedom. However, experimental techniques to observe the orbital state have been limited to date. We have developed one of the techniques using the resonant x-ray scattering, and quantitatively discussed the wave function of the orbitally ordered state in YTiO3.

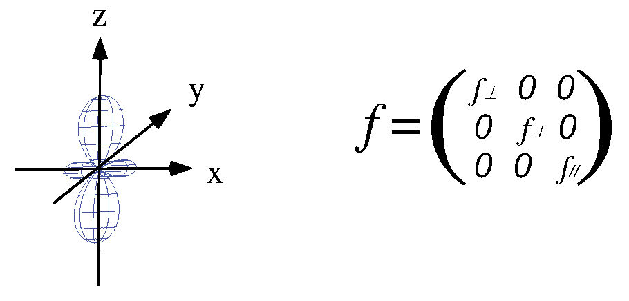
Near the x-ray absorption energy of the target ion, the atomic scattering factor (ASF) sensitively reflects the local symmetry around the ion absorbed x-ray. Then, the ASF is written by a tensor instead of a scalar. We can discuss the orbitally ordered state through the tensor of the ASF. For example, when the orbital elongates in the z-direction as shown in the left panel of Fig. 1, the atomic scattering factor becomes anisotropic between the x, y-direction and the z-direction. Then, we can write the atomic scattering tensor as shown in the right panel of Fig. 1.

Figure 1 : (left) A orbitally ordered state, 3z²-r². (right) The tensor of atomic scattering factor reflecting the orbital ordering, 3z²-r².

Using a diffraction technique near the absorption energy, we can observe a Bragg peak reflecting the periodicity of the anisotropic ASF, which is a kind of resonant x-ray scattering (RXS). The RXS has three characteristics different from a normal Bragg scattering.
(1) The RXS is observed only near the absorption edge energy of the target ion.
(2) The polarization of the scattered x-ray changes from that of the incident x-ray, though the x-ray polarization does not change in normal x-ray scattering.
(3) The intensity oscillates depending on the azimuthal angle which is the rotating angle around the scattering vector.
The polarization, azimuthal angle, and Q-position dependences provide direct information on the atomic scattering tensor. From these experimental results, we can know the periodicity and the correlation length of the orbitally ordered state, and also discuss the wave function.

A perovskite-type transition metal oxide, YTiO3, shows a ferromagnetic(FM)-insulator phase below TC ∼30 K. The origin of the FM ordering has been theoretically considered to be a ferromagnetic superexchange interaction caused by the orbital ordering of Ti3+ t2g-electron with s=1/2. The orbitally ordered state below TC was studied by the polarized neutron scattering and NMR. However, the techniques are limited to the observation in the magnetic ordered phase. Using the RXS technique, therefore, we have studied the orbitally ordered state in YTiO3 above TC and quantitatively discussed the wave function of the Ti ion.

The RXS experiment was performed at beamline X22C of Brookhaven National Laboratory's National Synchrotron Light Source.
Figure 2 : (a) Fluorescence at (0,0,1.5) near Ti K-edge energy. (b)-(d) Energy dependence of RXS intensities at forbidden reflections. The scattering components, σ→σ' and σ→π', are shown by open circles and filled circles, respectively. [The polarization vector, σ (π), is perpendicular(parallel) to the scattering plane.]

The energy dependence of the RXS intensity was measured at the forbidden reflections, (1 0 0), (0 0 1) and (0 1 1) where the observation of the RXS due to the orbital ordering is expected. The resonant features at Ti K-edge are clearly observed as shown in Figs. 2. The RXS at (1 0 0) and (0 0 1) exhibit only a π-polarization. At the (0 1 1), both σ- and π-polarizations are observed simultaneously. Thus we have succeeded in observing the three characteristics of the RXS including the azimuthal angle dependence.

Next, the tensor of atomic scattering factor is quantitatively determined on the basis of the polarization, the azimuthal angle, and the Q-position dependences. Finally, we could obtain the orbitally ordered image of YTiO3 by comparing these results with the orbital model as shown in Fig. 3.
Figure 3 : The orbitally ordered image in YTiO3, which is determined by the RXS technique.

The obtained wave function of the orbitally ordered state is in good agreement with the other previous experiments below TC and theories.

This work illustrates the possibility to quantitatively determine the orbitally ordered state through the anisotropic ASF. The application of this RXS technique is expanding to other materials orbitally ordered. However, the origin of the anisotropic atomic scattering factor still is controversial problem; The detailed report is given in the reference.